本文共 3377 字,大约阅读时间需要 11 分钟。
SSIM的输入就是两张图像,我们要得到其相似性的两张图像。其中一张是未经压缩的无失真图像(即ground truth),另一张就是你恢复出的图像。所以,SSIM可以作为super-resolution质量的指标。

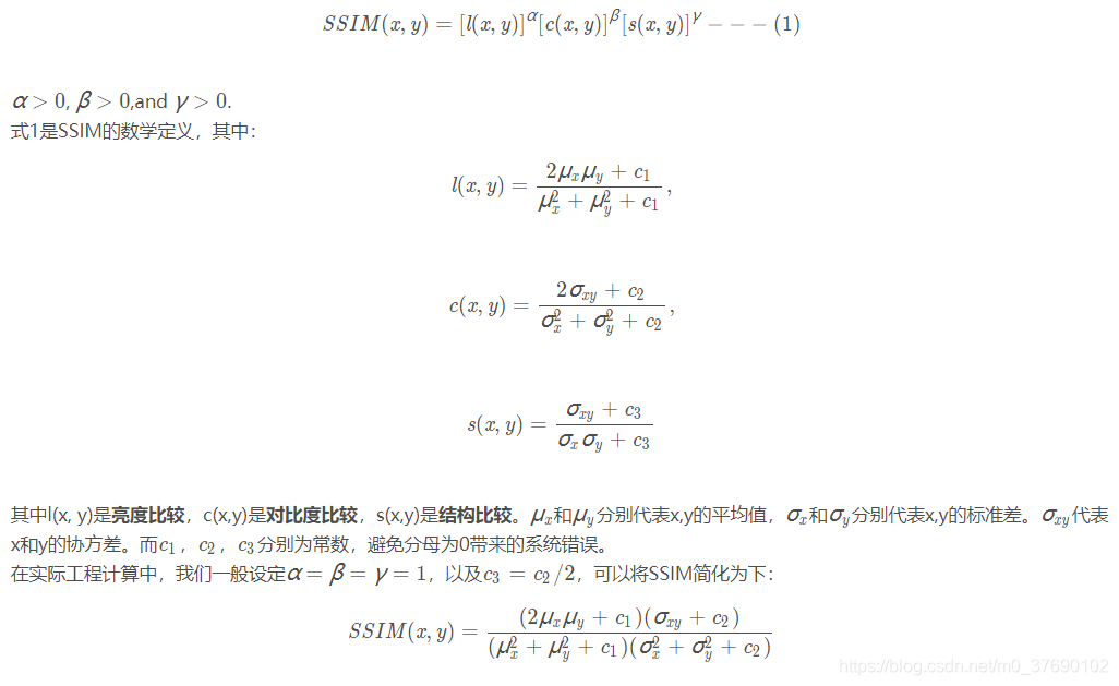
SSIM具有对称性,即SSIM(x,y)=SSIM(y,x)SSIM是一个0到1之间的数,越大表示输出图像和无失真图像的差距越小,即图像质量越好。当两幅图像一模一样时,SSIM=1;
计算PSNR要先知道MSE(均方误差)的计算。两个m×n单色图像I和K,如果一个为另外一个的噪声近似,那么它们的的均方误差定义为:

MSE的概念应该是比较熟悉的,这也是常见的损失函数。而PSNR就是通过MSE得出来的,公式如下:

其中,MAXI是表示图像点颜色的最大数值,如果每个采样点用 8 位表示,那么就是 255。所以MSE越小,则PSNR越大;所以PSNR越大,代表着图像质量越好。
Where, MAXI is the maximum value representing the color of the image points, which is 255 if each sampling point is represented by 8 bits.Therefore, the smaller the MSE, the larger the PSNR;So the bigger the PSNR, the better the image quality.
PSNR高于40dB说明图像质量极好(即非常接近原始图像),
在30—40dB通常表示图像质量是好的(即失真可以察觉但可以接受),
在20—30dB说明图像质量差;
最后,PSNR低于20dB图像不可接受
PSNR above 40dB indicates excellent image quality (i.e. very close to the original image),
Between 30 and 40dB usually means that the image quality is good (i.e., the distortion is detectable but acceptable),
Description of poor image quality at 20-30dB;
Finally, PSNR images below 20dB are not acceptable
import argparseimport osimport cv2import pandas as pdfrom skimage.measure import compare_ssimfrom skimage.measure import compare_psnrparser = argparse.ArgumentParser(description='image_eval')parser.add_argument('--orig_path',help='path to orig image dataset', default='orig/')parser.add_argument('--recon_path',help='path to recon image dataset', default='recon/')parser.add_argument('--image_format',help='format of the image', default='bmp')opt = parser.parse_args()num_files = 0for fn in os.listdir(opt.orig_path):    num_files += 1image_number = []psnr_number = []ssim_number = []for idx in range(num_files):    locals()['orig_'+str(idx)+''] = cv2.imread('%s/orig_%d.%s' %(opt.orig_path,idx,opt.image_format))    locals()['recon_'+str(idx)+''] = cv2.imread('%s/recon_%d.%s' %(opt.recon_path,idx,opt.image_format))    locals()['psnr_'+str(idx)+''] = compare_psnr(locals()['orig_'+str(idx)+''],locals()['recon_'+str(idx)+''])    locals()['ssim_'+str(idx)+''] = compare_ssim(locals()['orig_'+str(idx)+''],locals()['recon_'+str(idx)+''],multichannel=True)    image_number.append(str(idx))    psnr_number.append(locals()['psnr_'+str(idx)+''])    ssim_number.append(locals()['ssim_'+str(idx)+''])dit = {'image_number':image_number, 'psnr':psnr_number,'ssim':ssim_number}df = pd.DataFrame(dit)df.to_csv(r'./result.csv',columns=['image_number','psnr','ssim'],index=False,sep=',')   I hope I can help you,If you have any questions, please comment on this blog or send me a private message. I will reply in my free time.
转载地址:http://nngd.baihongyu.com/